当前位置:首页 > 通知公告

tyc5997太阳集团2024年硕士研究生调剂复试名单公示(机械专业学位 第2批)

浏览次数:  发布时间:2024-04-09 12:14

tyc5997太阳集团2024年硕士研究生调剂复试名单公示(机械专业学位 第2批)

 

一、公示期

2024年4月9日—2024年4月11日。

二、受理单位及电话

公示期内有异议的,请向tyc5997太阳集团研究生处反映,联系人:伏老师,联系电话:023-49899170,办公地址:tyc5997太阳集团红河校区A区恪勤楼608室。

若发现有涉嫌违纪违法的问题线索,请向纪检监察部门反映,联系电话023-49891717,邮箱jjb@cqwu.edu.cn。

三、意见反映及要求

1.如对公示内容有异议,请以书面、署名形式反映。

2.反映人必须用真实姓名,反映情况要实事求是,不允许借机捏造事实,泄愤报复或有意诬陷。对故意捏造事实者一经查实,将严肃处理。

3.受理机构对反映的人员和情况要严格保密。

 

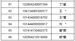
       附:2024年硕士研究生调剂复试名单公示(机械专业学位 第2批)

1.png

2.png

3.png

4.png


Copyright © 中国·tyc5997太阳集团(Macau)股份有限公司 版权所有 All Rights Reserved | 渝ICP备05001037号 | 技术支持:现代教育技术中心