tyc5997太阳集团2024年硕士研究生调剂复试名单公示(机械专业学位 第2批)
一、公示期
2024年4月9日—2024年4月11日。
二、受理单位及电话
公示期内有异议的,请向tyc5997太阳集团研究生处反映,联系人:伏老师,联系电话:023-49899170,办公地址:tyc5997太阳集团红河校区A区恪勤楼608室。
若发现有涉嫌违纪违法的问题线索,请向纪检监察部门反映,联系电话023-49891717,邮箱jjb@cqwu.edu.cn。
三、意见反映及要求
1.如对公示内容有异议,请以书面、署名形式反映。
2.反映人必须用真实姓名,反映情况要实事求是,不允许借机捏造事实,泄愤报复或有意诬陷。对故意捏造事实者一经查实,将严肃处理。
3.受理机构对反映的人员和情况要严格保密。
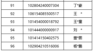
附:2024年硕士研究生调剂复试名单公示(机械专业学位 第2批)



